Analize stiintifice Filtru de apa GAV
Analiza comparativa a apei bidistilate la trecerea ei prin Filtru de apa GAV.
I. Analiza prin metoda optica
Pentru inregistrarea spectrelor s-a utilizat un spectrofotometru.
Experiment 1:
Apa bidistilata deionizata fata de apa bidistilata deionizata trecuta prin aparatul de produs“apa vie”(apa magnetizata)
Apa bidistilata deionizata – albastru;
Apa bidistilata deionizata “magnetizata” (prin aparatul de apa vie a fost trecuta apa din acelasi lot de apa bidistilata deionizata) – rosu.
Figura 2
Se poate observa o usoara crestere in absorbanta pentru pentru apa „magnetizata” fata de apa „simpla” (efect hipercromic)
Experiment 2:
Triptofan – 5 mL(concentratie 200,754 μM), adus la semn in balon de 10 ml cu apa(albastru)/apa magnetizata(rosu).
Referinta – negru (Fig. 1);
Triptofan Apa bidistilata deionizata – albastru;
Triptofan Apa bidistilata deionizata “magnetizata” (prin aparatul de apa vie a fost trecuta apa din acelasi lot de apa bidistilata deionizata – site) – rosu.
Figura 1
Figura 2
Experiment 3:
Triptofan – 1.8 mL (concentratie 200,754 μM), adus la semn in balon de 10 mL cu apa (negru) / apa_magnetizata (rosu)
Detalii – portiuni marite din spectrul inregistrat mai sus
Experiment 4:
Apa_metanol (negru) / apa Magnetizata_metanol (rosu)
Detaliu din spectrul de mai sus:
Date experimentale inregistrate (absorbanta in functie de lungimea de unda)
II. Metode Electrochimice
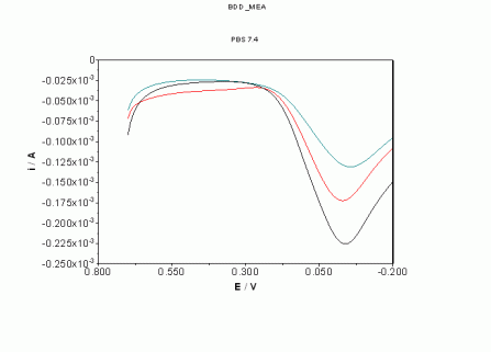
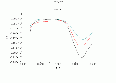
Intensitate curentului electric in functie de tensiunea electrica pentruvapabidistilata deionizata/
Curba verde: apa bidistilata deionizata
Curba rosie: apa bidistilata deionizata magnetizata cu turbiditate mica (obtinuta prin trecerea lenta a apei prin filtru de apa vie)
Curba neagra: apa bidistilata deionizata magnetizata cu turbiditate mare (obtinuta prin trecerea rapida a apei prin filtru de apa vie)

“Scadere curbe”: apa bidistilata deionizata ”magnetizata” – apa bidistilata deionizata(referinta)
“Curba diferenta” (ce a ramas dupa eliminarea referintei sau : din curba marcata cu negru s-au eliminat valorile pentru curba inregistrata cu verde)“
Observatii gennerale:
Filtrul pentru apa vie a fost folosit doar pentru a “magnetiza” apa bidistilata deionizata ( apa cu pH neutru, pura din punct de vedere chimic), care a fost folosita pentru prepararea solutiilor cu substante (acolo unde a fost cazul). S-a incercat tot timpul mentinerea curata si necontaminarea in vreun fel a interiorului filtrului!
III. Analize Calorimetrie
Analiza comparativa a apei bidistilate deionizate fata de apa_magnetizata bidistilata deionizata prin calorimetrie de scanare diferentiala cu ajutorul unui calorimetru.
Grafic pentru apa bidistilata deionizata pentru intervalele de temperatura 0-100°C (negru) si 100-0°C (rosu)
Grafic pentru apa_magnetizata bidistilata deionizata pentru intervalele de temperatura 0-100°C(negru) si 100-0°C(rosu).
Grafice pentru comparatie
Inregistrare pentru intervalul parcurs de la 0-100°C
Linia neagra reprezinta apa bidistilata deionizata
Linia rosie reprezinta apa_magnetizata bidistilata deionizata
Inregistrare pentru intervalul parcurs “invers” de la 100-0°C
Linia neagra reprezinta apa bidistilata deionizata
Linia rosie reprezinta apa_magnetizata bidistilata deionizata
Grafic apa si apa_magnetizata pentru un ciclu intreg 0°C
la 100°C si revenire la 0°C
Observatii:
S-au respectat aceleasi conditii ca in analizele anterioare!
Filtrul pentru apa vie a fost folosit doar pentru a “magnetiza” apa bidistilata deionizata ( apa cu pH neutru, pura din punct de vedere chimic), care a fost folosita pentru analiza.
S-a incercat tot timpul mentinerea curata si necontaminarea in vreun fel a interiorului filtrului!
Pregatirea celulelor de lucru:
Etapa 1: celula de referinta si celula pentru proba au continut apa bidistilata deionizata; s-a parcurs intervalul 0-100°C si 100-0°C cu pasul de 2°C/min.
Etapa 2: celula de referinta contine apa bidistilata deionizata, celula pentru proba contine apa magnetizata bidistilata deionizata(aceasta celula a fost spalata cu apa_magnetizata inainte de umplerea finala); s-a parcurs intervalul 0-100°C si 100-0°C cu pasul de 2°C/min.
Volumul referintei este egal cu cel al celulei de lucru; au fost ambele umplute la volumul maxim si anume 0,30mL
Spectru UV-Vis pentru naproxen. Date inregistrate cu spectrofotometrul.
Albastru – solutia de naproxen dizolvata in apa bidistilata deionizata
Rosu – solutia de naproxen diluata in apa bidistilata deionizata trecuta prin GAV
Mod de Lucru:
S-a inregistrat referinta.
Pentru masuratorile propriu-zise s-a pus in cuva de cuart 2.5mL apa bidistilata deionizata /apa bidistilata deionizata GAV peste care s-au adaugat succesiv de 8 ori cate 0.1mL salutie naproxen preparata cu apa bidistilata deionizata; dupa fiecare adaugare s-a inregistrat spectrul.
Graficul de mai sus a fost obtinut prin suprapunerea tuturor spectrelor inregistrate in cele doua situatii.
Temperatura solutiilor a fost mentinuta constanta pe parcursul experimentului, la 25°C.
Observatii:
Se poate observa comportarea diferita a solutiilor pentru care apa bidistilata deionizata a fost trecuta prin GAV(*).
Desi s-a lucrat in aceleasi conditii, solutiile (*) se comporta ca si cum s-ar fi folosit o cantitate mai mare de naproxen (Absorbanta inregistrata este direct proportional cu concentratia, conform legii Lambert – Beer: A = ?*c*l)
Cand se utilizeaza apa bidistilata deionizata care a fost trecuta prin GAV, se inregistreaza hipercromicitate pentru aceeasi concentratie.
Efect hipercrom se mai inregistreaza atunci cand sunt modificate conditii ca : temperatura, pH etc. Se poate deduce in acest caz ca efectul este datorat unui surplus energetic provenit in urma magnetizarii apei trecute prin GAV.
Reprezentarea graficelor nesuprapuse pentru Naproxen in cazul celor doua solutii pentru care s-au inregistrat absorbantele.
Grafic Abs fct. de concentratie pentru solutia de naproxen dizolvata in apa bidistilata deionizata
Grafic Abs fct. de concentratie pentru solutia de naproxen dizolvata in apa bidistilata deionizata trecuta prin GAV
Calcule – partea I
| Concentratii | Abs. naproxen in apa (absorbanta) | λ naproxen in apa (lungimea de unda) | Abs. naproxen in apa magnetizata (absorbanta) | λ naproxen in apa magnetizata (lungimea de unda) |
| C1+0.1mL | 0.360 | 230 | – | – |
| C1+0.2mL | 0.763 0.017 – |
230 331 – |
0.891 0.060 0.019 |
230 262 330 |
| C1+0.3mL | 1.20 0.083 0.026 |
230 271 329 |
1.258 0.084 0.027 |
230 271 330 |
| C1+0.4mL | 1.507 0.103 0.033 |
230 271 329 |
1.557 0.104 0.032 |
230 262 330 |
| C1+0.5mL | 1.763 0.121 0.038 |
230 271 330 |
1.874 0.127 0.040 |
230 271 330 |
| C1+0.6mL | 2.017 0.140 0.044 – |
230 271 330 – |
2.132 0.145 0.145 0.045 |
230 262 271 330 |
| C1+0.7mL | 2.316 0.162 0.163 0.051 |
230 262 271 329 |
2.368 0.162 0.163 0.051 |
230 262 271 330 |
| C1+0.8mL | 2.534 0.179 0.180 0.056 |
230 262 271 330 |
2.575 0.179 0.179 0.056 |
230 262 271 330 |
| λ=329.0013 | A nap_a | Anap_am | ΔA | …… |
mL sol. Nap | conc. Init. | (x) conc. Fin. | vol total= mL sol nap + mL apa |
| 0,008141 | 0,011196 | 0,003055 | 0,1 | 0,0002593 | 9,97308E-06 | 2,6 | ||
| 0,016456 | 0,017983 | 0,001527 | 0,2 | 1,92074E-05 | 2,7 | |||
| 0,025619 | 0,026299 | 0,00068 | 0,3 | 2,77821E-05 | 2,8 | |||
| 0,032238 | 0,032747 | 0,000509 | 0,4 | 3,57655E-05 | 2,9 | |||
| 0,037329 | 0,038517 | 0,001188 | 0,5 | 4,32167E-05 | 3 | |||
| 0,042928 | 0,044626 | 0,001698 | 0,6 | 5,01871E-05 | 3,1 | |||
| 0,049547 | 0,051414 | 0,001867 | 0,7 | 5,67219E-05 | 3,2 | |||
| 0,054126 | 0,055316 | 0,00119 | 0,8 | 6,28606E-05 | 3,3 |
Grafic Variatie absorbanta in functie de concentratie
Calculul constantei de stabilitate.




















